随着科技的进步,越来越多的自动控制系统被应用在各种场景中,一旦系统中某些元器件发生故障将会影响系统运行,达不到预期性能。故障检测与隔离在过去二十年中引起了人们的广泛关注。故障检测与隔离模块作为容错控制系统的关键部分,在某些元器件(如执行器和传感器)发生故障时,其作用是检测发生的故障并将其定位在监控系统中,从而保持整个系统处于安全运行状态。

近日,407教研室王烨副教授在国际权威期刊Journal of the Franklin Institute(JCR Q1区,中科院Top期刊,IF=3.653)发表新文章(Volume 356, Issue 10, July 2019, Pages 5293-5314),提出了一种对于广义系统的鲁棒故障检测与隔离方法,该方法利用全对称多胞胎未知输入观测器来保证鲁棒性,为故障检测与隔离提供了一种新途径。



方法框架
该文章首先针对广义系统,定义基于全对称多胞胎未知输入观测器结构。对于故障检测(FD)的观测器增益设计,相较于经典卡尔曼滤波的最优判据,文章中原创性地定义了一种兼顾到误差最小和故障灵敏度高的最优判据。对于实现故障隔离(FI),文章中结合了未知输入观测器结构,针对各个执行器故障,定义了一组全对称多胞胎未知输入观测器。最后,故障检测与隔离的逻辑判据是基于集合理论来定义的,通过检验坐标原点是否在某个全对称多胞胎里来判定是否有故障发生。

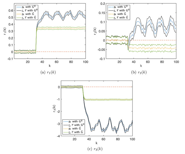
两种不同增益结果对比
在验证故障检测仿真结果中,通过对比卡尔曼滤波增益(绿色线)与最优故障检测增益(黑色线),发现黑色线更偏离坐标原点,即表明文章中所设计的最优故障检测增益使全对称未知输入观测器对于故障更灵敏。
论文链接:
https://www.sciencedirect.com/science/article/pii/S0016003219302625