作为人工智能领域的一个重要分支,多智能体系统因其理论研究和工程应用价值,近些年来受到了许多研究者的关注。众所周知,一致性问题是研究多智能体系统协调控制领域其它问题的基础。此外,由于奇异系统模型可以用来描述更为一般的真实物理系统,所以奇异多智能体系统在近些年逐步成为了研究热点。

近日,冯志光教授等在国际期刊Neurocomputing(JCR Q1区,IF=4.072)发表文章(351,123-133,2019),提出了一种奇异非线性多智能体的一致性控制方法。据悉,该方法通过应用非奇异矩阵变换技术,在保证系统一致性的同时,给出一致性函数的精确表达式。

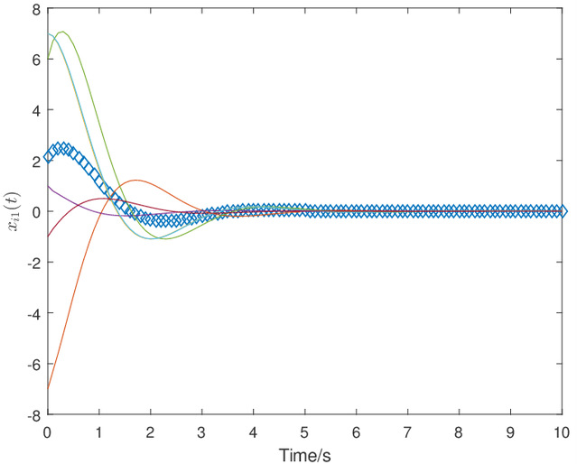
图1系统状态

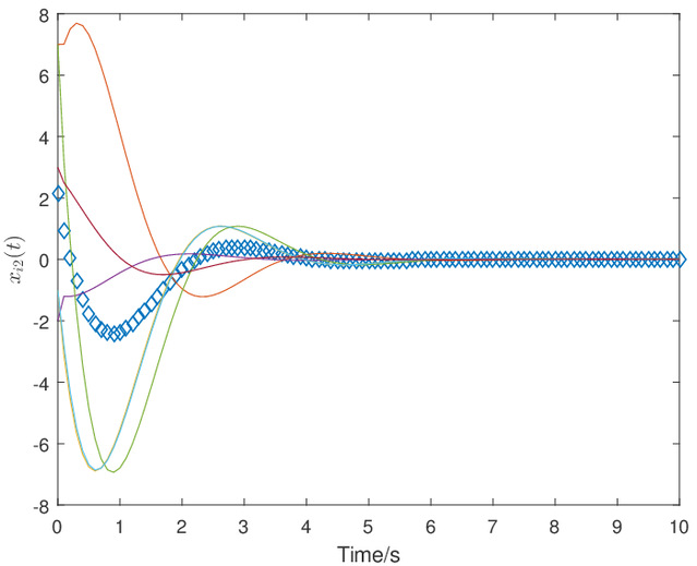
图2系统状态

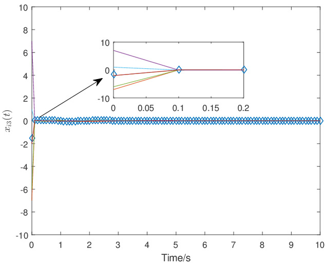
图3系统状态
文中指出,该方法可以有效地消除Lipschitz非线性对系统稳定性的影响。通过将一致性控制问题转化为较低维数等价奇异系统的可容许性分析问题,在线性矩阵不等式框架下成功设计了一致性协议,并推导了一致性函数的精确表达式。
论文链接:https://doi.org/10.1016/j.neucom.2019.03.038